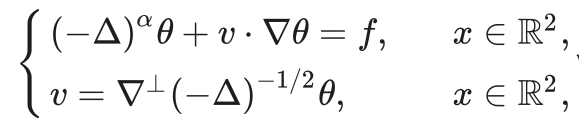
準地衡流方程式の可解性に新展開――臨界Sobolev空間での解析(藤井講師)
| 研究分野 | 数理情報科学(非線形偏微分方程式論) |
|---|---|
| 掲載誌 | Nonlinear Analysis |
| 論文題目 | Stationary solutions to the critical and super-critical quasi-geostrophic equation in the scaling critical Sobolev space |
| 著者 | Mikihiro Fujii |
| 所属機関 | 名古屋市立大学 |
| 概要 | 優臨界散逸を持つ準地衡流方程式の定常問題の可解性を臨界Sobolev空間の枠組みで論じた. |
| 掲載日 | 2026年9月 |
| DOI | https://doi.org/10.1016/j.na.2026.114126 |
| 備考 |

