藤井講師が6報の論文を査読つき国際学術誌に発表しました
| 研究分野 | 数理情報科学(非線形偏微分方程式論) |
|---|---|
| 掲載誌 | Mathematische Annalen |
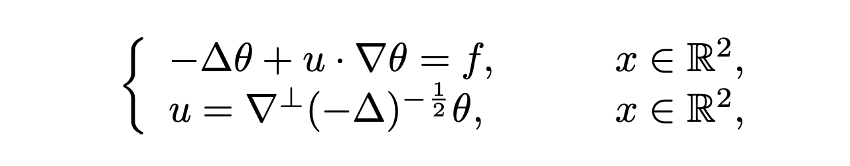
| 論文題目 | Sharp well-posedness and ill-posedness of the stationary quasi-geostrophic equation |
| 著者 | Mikihiro Fujii, Tsukasa Iwabuchi |
| 所属機関 | 名古屋市立大学,東北大学 |
| 概要 | 準地衡流方程式の定常問題の可解性を尺度臨界なBesov空間で考察し,適切性・非適切性が成立する可積分指数と補完指数の条件を完全に分類した. |
| 掲載日 | 6 August 2025 |
| DOI | https://doi.org/10.1016/j.jde.2025.113298 |
| 備考 |

解析対象とする方程式
| 研究分野 | 数理情報科学(非線形偏微分方程式論) |
|---|---|
| 掲載誌 | Archive for Rational Mechanics and Analysis |
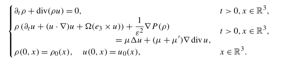
| 論文題目 | Global Strong Solutions to the Compressible Navier–Stokes–Coriolis System for Large Data |
| 著者 | Mikihiro Fujii, Keiichi Watanabe |
| 所属機関 | 名古屋市立大学,公立諏訪東京理科大学 |
| 概要 | 回転座標系における圧縮性Navier-Stokes方程式の初期値問題の局所適切性を臨界Besov空間の枠組みで考察し,時間大域解の一意存在を尺度臨界なBesov空間の枠組みで議論した. |
| 掲載日 | 24 March 2026 |
| DOI | https://doi.org/10.1007/s00205-026-02172-w |
| 備考 |

解析対象とする方程式
| 研究分野 | 数理情報科学(非線形偏微分方程式論) |
|---|---|
| 掲載誌 | Annales de l'Institut Henri Poincaré C |
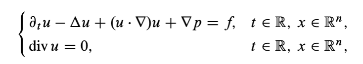
| 論文題目 | Time-periodic solutions to the Navier–Stokes equations on the whole space including the two-dimensional case |
| 著者 | Mikihiro Fujii |
| 所属機関 | 名古屋市立大学 |
| 概要 | Navier-Stokes方程式の時間周期問題を尺度臨界なBesov空間型の枠組みで考察し,空間次元が3以上のときの可解性と安定性を調べた.さらに空間次元が2である場合,時間周期解が存在しないような時間周期的な外力の存在を証明した. |
| 掲載日 | 8 December 2025 |
| DOI | https://doi.org/10.4171/aihpc/170 |
| 備考 |

解析対象とする方程式
| 研究分野 | 数理情報科学(非線形偏微分方程式論) |
|---|---|
| 掲載誌 | Journal of Mathematical Fluid Mechanics |
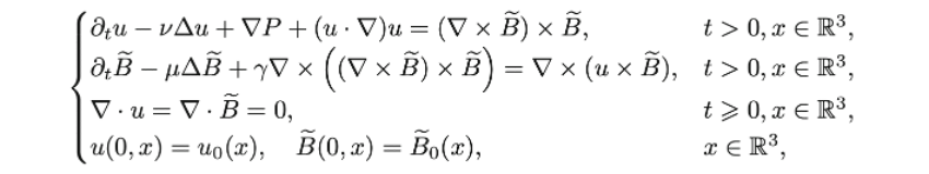
| 論文題目 | Dispersive Phenomena on the Hall-MHD System Around the Constant Equilibrium State in the General Dissipative Coefficients Case |
| 著者 | Mikihiro Fujii, Shunhang Zhang |
| 所属機関 | 名古屋市立大学,Wuyi University |
| 概要 | 大きな定磁場の周りにおいてHall効果付きの磁気流体方程式の初期値問題の時間大域的適切性を,粘性係数と抵抗係数が一致していない場合も含めて証明した.特に,初期摂動の大きさに制限を設けずとも,定磁場を大きくとることで時間大域解を構成できることが証明された.さらに対応する時間周期問題についても考察した. |
| 掲載日 | 13 January 2026 |
| DOI | https://doi.org/10.1007/s00021-025-00990-8 |
| 備考 |

解析対象とする方程式
| 研究分野 | 数理情報科学(非線形偏微分方程式論) |
|---|---|
| 掲載誌 | Bulletin of the London Mathematical Society |
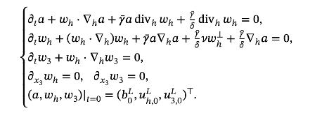
| 論文題目 | Incompressible and fast rotation limits for 3D compressible rotating Euler system with general initial data |
| 著者 | Mikihiro Fujii, Pengcheng Mu, Yang Li |
| 所属機関 | 名古屋市立大学,Anhui University |
| 概要 | 回転座標系における圧縮性Euler方程式において,非圧縮極限と高速回転極限を同時に考える特異極限問題において,時間局所的な古典解が準地衡流に収束することを証明した. |
| 掲載日 | 7 January 2026 |
| DOI | https://doi.org/10.1112/blms.70312 |
| 備考 |

解析対象とする方程式
| 研究分野 | 数理情報科学(非線形偏微分方程式論) |
|---|---|
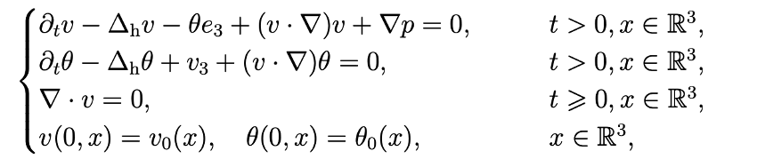
| 掲載誌 | SIAM Journal on Mathematical Analysis |
| 論文題目 | Linear and Nonlinear Stability for the Three Dimensional Stratified Boussinesq Equations with Horizontal Viscosity and Diffusivity |
| 著者 | Mikihiro Fujii, Yang Li |
| 所属機関 | 名古屋市立大学,Anhui University |
| 概要 | 異方的粘性項を持つ3次元Boussinesq方程式において,小さな時間大域解の時間減衰評価を得た.時間減衰率を通じて,線形解が有する分散性や,速度場の鉛直成分が有する強い消散性の構造を定量的に解析した. |
| 掲載日 | 7 January 2026 |
| DOI | https://doi.org/10.1137/24M1715970 |
| 備考 |

解析対象とする方程式
