藤井講師の論文が国際学術誌 Calculus of Variations and Partial Differential Equations に掲載されました
| 研究分野 | 数理情報科学(非線形偏微分方程式論) |
|---|---|
| 掲載誌 | Calculus of Variations and Partial Differential Equations |
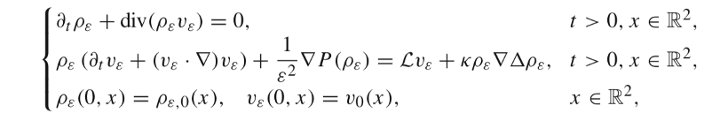
| 論文題目 | Low Mach number limit for the global large solutions to the 2D Navier–Stokes–Korteweg system in the critical $\widehat{L^p}$ framework |
| 著者 | Mikihiro Fujii, Yang Li |
| 所属機関 | 名古屋市立大学,Anhui University |
| 概要 | Mach数を0とする特異極限において圧縮性Navier-Stokes-Korteweg方程式の解が非圧縮性Navier-Stokes方程式の解に収束することを2次元全平面上における臨界Fourier—Besov空間の枠組みで証明した. |
| 掲載日 | 25-May-25 |
| DOI | https://doi.org/10.1007/s00526-024-02857-8 |
| 備考 |

解析対象とする方程式
