藤井講師の論文が国際学術誌 Journal of Differential Equations に掲載されました
| 研究分野 | 数理情報科学(非線形偏微分方程式論) |
|---|---|
| 掲載誌 | Journal of Differential Equations |
| 論文題目 | Stationary Navier–Stokes equations on the half spaces in the scaling critical framework |
| 著者 | Mikihiro Fujii |
| 所属機関 | 名古屋市立大学 |
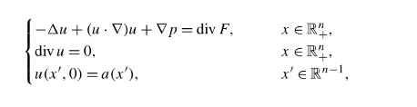
| 概要 | 非圧縮性定常Navier-Stokes方程式を半空間上で考察し、非斉次Dirichlet条件下で可解性を調べた。主結果ではChemin—Lerner型の臨界空間の枠組みで解を構成できることを述べた。 |
| 掲載日 | 5-Aug-25 |
| DOI | https://doi.org/10.1016/j.jde.2025.113298 |
| 備考 |

解析対象とする方程式
