グローバルナビゲーションへ

本文へ

ローカルナビゲーションへ

フッターへ


研究業績

藤井講師の論文が国際学術誌 International Mathematics Research Notices に掲載されました


ページ内目次


研究分野 数理情報科学(非線形偏微分方程式論)
掲載誌 International Mathematics Research Notices
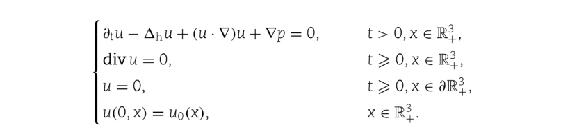
論文題目 Large Time Behavior for Solutions to the Anisotropic Navier–Stokes Equations in a 3D Half-space
著者 Mikihiro Fujii, Yang Li
所属機関 名古屋市立大学、Anhui University
概要 3次元半空間上の異方的粘性項をもつNavier-Stokes方程式の滑らかな時間大域的一意解に対する長時間挙動を調べ、その減衰率を定量的に調査した。
掲載日 10 December 2024
DOI https://doi.org/10.1093/imrn/rnae265
備考

解析対象とする方程式

  1. ホーム
  2.  >  研究業績
  3.  >  藤井講師の論文が国際学術誌 International Mathematics Research Notices に掲載されました