藤井講師の論文が国際学術誌 Mathematische Nachrichten に掲載されました
| 研究分野 | 数理情報科学(非線形偏微分方程式論) |
|---|---|
| 掲載誌 | Mathematische Nachrichten |
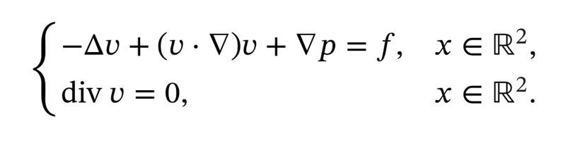
| 論文題目 | Well‐posedness of the two‐dimensional stationary Navier–Stokes equations around a uniform flow |
| 著者 | Mikihiro Fujii, Hiroyuki Tsurumi |
| 所属機関 | 名古屋市立大学、徳島大学 |
| 概要 | 2次元全平面上の定常Navier-Stokes方程式の可解性を一様流まわりの臨界空間で論じた. |
| 掲載日 | 26-Sep-24 |
| DOI | https://doi.org/10.1002/mana.202400011 |
| 備考 |

解析対象とする方程式
