小酒井さん(渡邊研・研究員)の論文が国際学術誌 Procedia Computer Science に掲載されました
| 研究分野 | 数理情報科学(教育工学) |
|---|---|
| 掲載誌 | Procedia Computer Science |
| 論文題目 | Tendency Analysis of Python Programming Classes for Junior and Senior High School Students |
| 著者 | Ryouta Kozakai, Toshiki Kobayashi, Zhang Wenxuan, Yuji Watanabe |
| 所属機関 | 名古屋市立大学 |
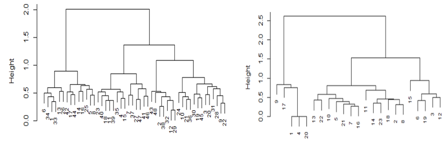
| 概要 | 本研究では、2020年12月19日に高校生23名、2021年8月11, 12日に中学生48名を対象としたプログラミング教室で収集したPythonのプログラムコードとアンケート結果を分析する。まず、Google Colaboratory上で入力・実行された168個の各生徒のプログラムをGoogleドライブの共有によって収集する。分析では、各生徒のプログラムの正誤関係から類似性行列を求め、Ward法で階層クラスタリングしてデンドログラムで可視化する。その結果、正誤関係からクラスタを確認した。アンケートに関しては、正答数との関係にはコンジョイント分析、アンケートカテゴリの関係性には数量化3類を使用する。その結果、高校生の傾向は中学生の傾向と同じまたは異なることを確認した。 |
| 掲載日 | 19 October 2022 |
| DOI | https://doi.org/10.1016/j.procs.2022.09.524 |
| 備考 |

中学生(左図)と高校生(右図)の正誤傾向のデンドログラム
